◎ 組成
1.ポリリン酸メラミン(主成分)
2.ラジカル発生剤
3.臭素系難燃剤
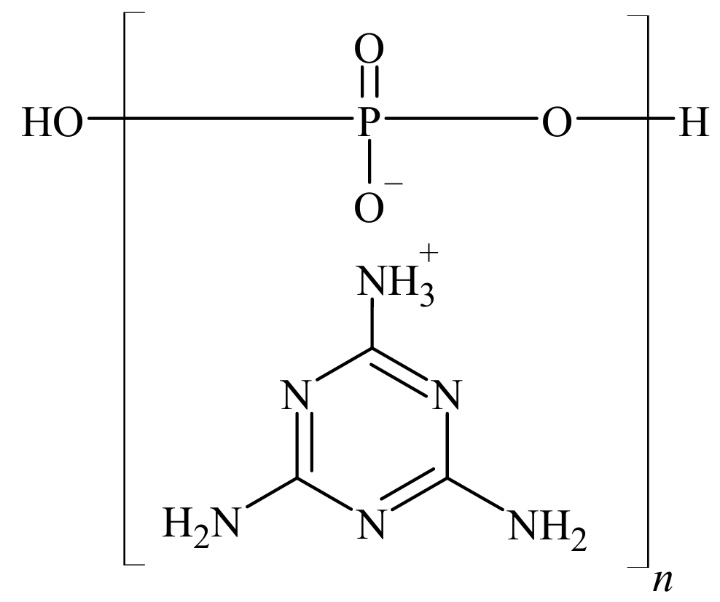
◎ ポリリン酸メラミン 構造式

◎ 性状
外観 リン含有量 窒素含有量 臭素含有量 揮発分 |
白色粉末 約10% 約37% 約1.3% 0.5%以下 |
◎ 用途
ポリプロピレン
◎ 荷姿
25kg 紙袋
◎ 配合例
| PP (MI=11) |
95.0 |
94.5 |
| FCP-7163 |
5.0 |
|
| 臭素系難燃剤FCP-680 |
|
4.0 |
| 三酸化アンチモンAT3 |
|
1.5 |
| 酸素指数 |
25.0 |
24.5 |
UL94 3.0mm 1.5mm 0.8mm |
V-2 V-2 V-2 |
V-2 V-2 V-2 |
